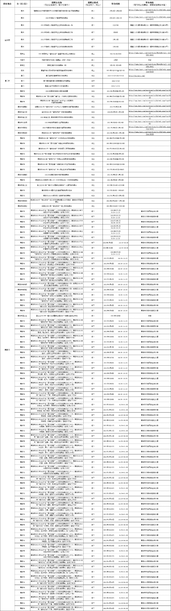
为扎实做好“六稳”工作,全面落实“六保”任务,保障节后企业用工需求,促进更充分和更高质量就业,2021年春节后开工第一天(2月18日)起,至4月30日期间,中国海峡人才市场在全省范围内计划举办招聘会152场,其中现场招聘会85场,网络招聘会67场。预计将有1万多家用人单位参加招聘,提供近10万个需求岗位。具体请点击以下图片查看(图片可点击放大):


点击扫描二维码,可查看招聘场次,预定展位

为扎实做好“六稳”工作,全面落实“六保”任务,保障节后企业用工需求,促进更充分和更高质量就业,2021年春节后开工第一天(2月18日)起,至4月30日期间,中国海峡人才市场在全省范围内计划举办招聘会152场,其中现场招聘会85场,网络招聘会67场。预计将有1万多家用人单位参加招聘,提供近10万个需求岗位。具体请点击以下图片查看(图片可点击放大):


点击扫描二维码,可查看招聘场次,预定展位
